Aiaraldeko Mendiak Bizirik! plataformak salatu du energia azpiegitura berria eraiki nahi dutela eskualdean. Zehazki, apirilaren 22an Euskal Herriko Agintaritzaren Aldizkariak jakinarazi zuen Solaria enpresak baimena eskatu duela goi tentsioko linea eraikitzeko Amurrio, Aiara, Okondo eta Urduñako udalerrietan.
Azpiegitura hori lotuta egongo litzateke Solariak eraiki nahi dituen hiru zentral fotovoltaikoetara (Solaria Zierbena Solar 2, 3 eta 4). Zehazki, lineak elektrizitatea garraiatuko luke Zierbenatik Zuiako, Erriberabeitiako eta Gasteizko azpiestazioetara.
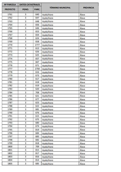
Berez, 603 lursailen desjabetza ekarriko luke egitasmoak: 2 Urduñan, 254 Amurrion, 241 Aiaran eta 106 Okondon.
Aiarako Udala jadanik hasi da proiektua aztertzen, dagoeneko existitzen delako beste goi tentsioko linea bat, egitasmo berri horren ibilbidearekiko paraleloa.
Plataformaren salaketa
Aiaraldeko Mendiak Bizirik! jarri da harremanetan Aiaraldea Komunikabidearekin egitasmoaren berri emateko eta oso kritikoa izan da. Alde batetik, salatu du Eusko Legebiltzarreko hauteskundeen hurrengo egunean eman zutela horren berri Eusko Jaurlaritza utziko zutenek.
Horrez gain, plataformak azpimarratu du proiektu hori aurrera ateratzen saiatzen ari direla Energia Berriztagarrien Sektore Plana lantzen ari den bitartean, eta aldarrikatu du horrelako ekimenak modu argian arautu behar direla: "Ez da posible enpresa bakoitzak nahi duena egitea. Sektore planak aurreikusi beharko luke ere nola garraiatuko duten energia, erokeria da konpainia bakoitzak bere linea eraikitzea".
Erakundeei ardurak eskatu
Plataformak azpimarratu du erakunde publikoak baimentzen ari direla egoera hau eta, ondorioz, herritarrek instituzio horietara (Udalak edo Eusko Jaurlaritza) jo behar dutela azalpen eske.
Momentuz, taldeak ez du baztertu alegazioak aurkeztea, baina uste du aiaraldearrak instituzioekin harremanetan jarri behar direla egoera argitzeko.
Hau da lursail kaltetuen zerrenda:













